Vai al contenuto
  • Home
  • Movimento
  • Notizie
    • Ultime Notizie
    • Dal territorio
    • Gazzetta Tricolore
    • Ultime Notizie
    • Dal territorio
    • Gazzetta Tricolore
  • Programma
    • Programma Centrodestra 2022
    • Programma Europa FdI 2024
    • Programma Fratelli d’Italia 2022
    • 3 Anni di Governo
    • Programma Centrodestra 2022
    • Programma Europa FdI 2024
    • Programma Fratelli d’Italia 2022
    • 3 Anni di Governo
  • Media
    • Video
    • Le nostre campagne
    • Logo
    • Modulistica amministrative 2026
    • Video
    • Le nostre campagne
    • Logo
    • Modulistica amministrative 2026
  • Contatti
    • Contattaci
    • La nostra sede
    • Contattaci
    • La nostra sede
Facebook-f Youtube
Tesserati
Sostienici
Tesserati
Sostienici
Contributi Ricevuti Legge 3/2019

Elenco contributi ricevuti dal partito Fratelli d’Italia- Alleanza Nazionale e dalle sue articolazioni territoriali dotati di autonomia amministrativa.

CONTRIBUTI RICEVUTI GENNAIO

CONTRIBUTI RICEVUTI FEBBRAIO

CONTRIBUTI RICEVUTI MARZO

CONTRIBUTI RICEVUTI APRILE 1

CONTRIBUTI RICEVUTI APRILE 2

CONTRIBUTI RICEVUTI MAGGIO 1

CONTRIBUTI RICEVUTI MAGGIO 2

CONTRIBUTI RICEVUTI GIUGNO 1

CONTRIBUTI RICEVUTI GIUGNO 2

CONTRIBUTI RICEVUTI LUGLIO

CONTRIBUTI RICEVUTI AGOSTO

CONTRIBUTI RICEVUTI SETTEMBRE

CONTRIBUTI RICEVUTI OTTOBRE

CONTRIBUTI RICEVUTI NOVEMBRE

CONTRIBUTI RICEVUTI DICEMBRE_1

CONTRIBUTI RICEVUTI DICEMBRE_2

CONTRIBUTI RICEVUTI DICEMBRE_3

ELENCO DEI SOGGETTI CHE HANNO EROGATO CONTRIBUTI DI IMPORTO UNITARIO INFERIORE A EURO 500,00 COMPLESSIVAMENTE SUPERIORI NELL’ANNO A TALE IMPORTO. ANNO 2019

CONTRIBUTI RICEVUTI GENNAIO 2020

CONTRIBUTI RICEVUTI FEBBRAIO 2020-1

CONTRIBUTI RICEVUTI FEBBRAIO 2020-2

CONTRIBUTI RICEVUTI FEBBRAIO 2020-3

CONTRIBUTI RICEVUTI MARZO 2020

CONTRIBUTI RICEVUTI APRILE 2020

CONTRIBUTI RICEVUTI MAGGIO 2020

CONTRIBUTI RICEVUTI GIUGNO 2020

CONTRIBUTI RICEVUTI LUGLIO 2020-1

CONTRIBUTI RICEVUTI LUGLIO 2020-2

CONTRIBUTI RICEVUTI AGOSTO 2020-1

CONTRIBUTI RICEVUTI AGOSTO 2020-2

CONTRIBUTI RICEVUTI SETTEMBRE 2020-1

CONTRIBUTI RICEVUTI SETTEMBRE 2020-2

CONTRIBUTI RICEVUTI OTTOBRE 2020

CONTRIBUTI RICEVUTI NOVEMBRE 2020-1

CONTRIBUTI RICEVUTI NOVEMBRE 2020-2

CONTRIBUTI RICEVUTI DICEMBRE 2020-1

CONTRIBUTI RICEVUTI DICEMBRE 2020-2

ELENCO DEI SOGGETTI CHE HANNO EROGATO CONTRIBUTI DI IMPORTO UNITARIO INFERIORE A EURO 500,00 COMPLESSIVAMENTE SUPERIORI NELL’ANNO A TALE IMPORTO. ANNO 2020.

CONTRIBUTI RICEVUTI GENNAIO 2021-1

CONTRIBUTI RICEVUTI GENNAIO 2021-2

CONTRIBUTI RICEVUTI GENNAIO 2021-3

CONTRIBUTI RICEVUTI FEBBRAIO 2021

CONTRIBUTI RICEVUTI MARZO 2021-1

CONTRIBUTI RICEVUTI MARZO 2021-2

CONTRIBUTI RICEVUTI APRILE 2021-1

CONTRIBUTI RICEVUTI APRILE 2021-2

CONTRIBUTI RICEVUTI MAGGIO 2021-1

CONTRIBUTI RICEVUTI MAGGIO 2021-2

CONTRIBUTI RICEVUTI GIUGNO 2021-1

CONTRIBUTI RICEVUTI GIUGNO 2021-2

CONTRIBUTI RICEVUTI LUGLIO 2021-1

CONTRIBUTI RICEVUTI LUGLIO 2021-2

CONTRIBUTI RICEVUTI AGOSTO 2021-1

CONTRIBUTI RICEVUTI AGOSTO 2021-2

CONTRIBUTI RICEVUTI SETTEMBRE 2021-1

CONTRIBUTI RICEVUTI SETTEMBRE 2021-2

CONTRIBUTI RICEVUTI OTTOBRE 2021-1

CONTRIBUTI RICEVUTI OTTOBRE 2021-2

CONTRIBUTI RICEVUTI NOVEMBRE 2021-1

CONTRIBUTI RICEVUTI NOVEMBRE 2021-2

CONTRIBUTI RICEVUTI DICEMBRE 2021-1

CONTRIBUTI RICEVUTI DICEMBRE 2021-2

CONTRIBUTI RICEVUTI DICEMBRE 2021-3

ELENCO DEI SOGGETTI CHE HANNO EROGATO CONTRIBUTI DI IMPORTO UNITARIO INFERIORE A EURO 500,00 COMPLESSIVAMENTE SUPERIORI NELL’ANNO A TALE IMPORTO. ANNO 2021

CONTRIBUTI RICEVUTI GENNAIO 2022-1

CONTRIBUTI RICEVUTI GENNAIO 2022-2

CONTRIBUTI RICEVUTI FEBBRAIO 2022-1

CONTRIBUTI RICEVUTI FEBBRAIO 2022-2

CONTRIBUTI RICEVUTI FEBBRAIO 2022-3

CONTRIBUTI RICEVUTI MARZO 2022-1

CONTRIBUTI RICEVUTI MARZO 2022-2

CONTRIBUTI RICEVUTI APRILE 2022-1

CONTRIBUTI RICEVUTI APRILE 2022-2

CONTRIBUTI RICEVUTI MAGGIO 2022-1

CONTRIBUTI RICEVUTI MAGGIO 2022-2

CONTRIBUTI RICEVUTI MAGGIO 2022-3

CONTRIBUTI RICEVUTI GIUGNO 2022-1

CONTRIBUTI RICEVUTI GIUGNO 2022-2

CONTRIBUTI RICEVUTI GIUGNO 2022-3

CONTRIBUTI RICEVUTI LUGLIO 2022-1

CONTRIBUTI RICEVUTI LUGLIO 2022-2

CONTRIBUTI RICEVUTI LUGLIO 2022-3

CONTRIBUTI RICEVUTI AGOSTO 2022-1

CONTRIBUTI RICEVUTI AGOSTO 2022-2

CONTRIBUTI RICEVUTI AGOSTO 2022-3

CONTRIBUTI RICEVUTI AGOSTO 2022-4

CONTRIBUTI RICEVUTI SETTEMBRE 2022-1

CONTRIBUTI RICEVUTI SETTEMBRE 2022-2

CONTRIBUTI RICEVUTI SETTEMBRE 2022-3

CONTRIBUTI RICEVUTI SETTEMBRE 2022-4

CONTRIBUTI RICEVUTI SETTEMBRE 2022-5

CONTRIBUTI RICEVUTI SETTEMBRE 2022-6

CONTRIBUTI RICEVUTI OTTOBRE 2022-1

CONTRIBUTI RICEVUTI OTTOBRE 2022-2

CONTRIBUTI RICEVUTI NOVEMBRE 2022-1

CONTRIBUTI RICEVUTI NOVEMBRE 2022-2

CONTRIBUTI RICEVUTI DICEMBRE 2022-1

CONTRIBUTI RICEVUTI DICEMBRE 2022-2

CONTRIBUTI RICEVUTI DICEMBRE 2022-3

CONTRIBUTI RICEVUTI DICEMBRE 2022-4

ELENCO DEI SOGGETTI CHE HANNO EROGATO CONTRIBUTI DI IMPORTO UNITARIO INFERIORE A EURO 500,00 COMPLESSIVAMENTE SUPERIORI NELL’ANNO A TALE IMPORTO. ANNO 2022-1

ELENCO DEI SOGGETTI CHE HANNO EROGATO CONTRIBUTI DI IMPORTO UNITARIO INFERIORE A EURO 500,00 COMPLESSIVAMENTE SUPERIORI NELL’ANNO A TALE IMPORTO. ANNO 2022-2

CONTRIBUTI RICEVUTI GENNAIO 2023-1

CONTRIBUTI RICEVUTI GENNAIO 2023-2

CONTRIBUTI RICEVUTI GENNAIO 2023-3

CONTRIBUTI RICEVUTI GENNAIO 2023-4

CONTRIBUTI RICEVUTI FEBBRAIO 2023-1

CONTRIBUTI RICEVUTI FEBBRAIO 2023-2

CONTRIBUTI RICEVUTI FEBBRAIO 2023-3

CONTRIBUTI RICEVUTI FEBBRAIO 2023-4

CONTRIBUTI RICEVUTI MARZO 2023-1

CONTRIBUTI RICEVUTI MARZO 2023-2

CONTRIBUTI RICEVUTI MARZO 2023-3

CONTRIBUTI RICEVUTI MARZO 2023-4

CONTRIBUTI RICEVUTI MARZO 2023-5

CONTRIBUTI RICEVUTI APRILE 2023-1

CONTRIBUTI RICEVUTI APRILE 2023-2

CONTRIBUTI RICEVUTI APRILE 2023-3

CONTRIBUTI RICEVUTI APRILE 2023-4

CONTRIBUTI RICEVUTI MAGGIO 2023-1

CONTRIBUTI RICEVUTI MAGGIO 2023-2

CONTRIBUTI RICEVUTI MAGGIO 2023-3

CONTRIBUTI RICEVUTI MAGGIO 2023-4

CONTRIBUTI RICEVUTI MAGGIO 2023-5

CONTRIBUTI RICEVUTI MAGGIO 2023-6

CONTRIBUTI RICEVUTI GIUGNO 2023-1

CONTRIBUTI RICEVUTI GIUGNO 2023-2

CONTRIBUTI RICEVUTI GIUGNO 2023-3

CONTRIBUTI RICEVUTI GIUGNO 2023-4

CONTRIBUTI RICEVUTI LUGLIO 2023-1

CONTRIBUTI RICEVUTI LUGLIO 2023-2

CONTRIBUTI RICEVUTI LUGLIO 2023-3

CONTRIBUTI RICEVUTI LUGLIO 2023-4

CONTRIBUTI RICEVUTI AGOSTO 2023-1

CONTRIBUTI RICEVUTI AGOSTO 2023-2

CONTRIBUTI RICEVUTI AGOSTO 2023-3

CONTRIBUTI RICEVUTI AGOSTO 2023-4

CONTRIBUTI RICEVUTI SETTEMBRE 2023-1

CONTRIBUTI RICEVUTI SETTEMBRE 2023-2

CONTRIBUTI RICEVUTI SETTEMBRE 2023-3

CONTRIBUTI RICEVUTI SETTEMBRE 2023-4

CONTRIBUTI RICEVUTI OTTOBRE 2023-1

CONTRIBUTI RICEVUTI OTTOBRE 2023-2

CONTRIBUTI RICEVUTI OTTOBRE 2023-3

CONTRIBUTI RICEVUTI OTTOBRE 2023-4

CONTRIBUTI RICEVUTI NOVEMBRE 2023-1

CONTRIBUTI RICEVUTI NOVEMBRE 2023-2

CONTRIBUTI RICEVUTI NOVEMBRE 2023-3

CONTRIBUTI RICEVUTI NOVEMBRE 2023-4

CONTRIBUTI RICEVUTI DICEMBRE 2023-1

CONTRIBUTI RICEVUTI DICEMBRE 2023-2

CONTRIBUTI RICEVUTI DICEMBRE 2023-3

CONTRIBUTI RICEVUTI DICEMBRE 2023-4

CONTRIBUTI RICEVUTI DICEMBRE 2023-5

ELENCO DEI SOGGETTI CHE HANNO EROGATO CONTRIBUTI DI IMPORTO UNITARIO INFERIORE A EURO 500,00 COMPLESSIVAMENTE SUPERIORI NELL’ANNO A TALE IMPORTO. ANNO 2023-1

ELENCO DEI SOGGETTI CHE HANNO EROGATO CONTRIBUTI DI IMPORTO UNITARIO INFERIORE A EURO 500,00 COMPLESSIVAMENTE SUPERIORI NELL’ANNO A TALE IMPORTO. ANNO 2023-2

ELENCO DEI SOGGETTI CHE HANNO EROGATO CONTRIBUTI DI IMPORTO UNITARIO INFERIORE A EURO 500,00 COMPLESSIVAMENTE SUPERIORI NELL’ANNO A TALE IMPORTO. ANNO 2023-3

ELENCO DEI SOGGETTI CHE HANNO EROGATO CONTRIBUTI DI IMPORTO UNITARIO INFERIORE A EURO 500,00 COMPLESSIVAMENTE SUPERIORI NELL’ANNO A TALE IMPORTO. ANNO 2023-4

ELENCO DEI SOGGETTI CHE HANNO EROGATO CONTRIBUTI DI IMPORTO UNITARIO INFERIORE A EURO 500,00 COMPLESSIVAMENTE SUPERIORI NELL’ANNO A TALE IMPORTO. ANNO 2023-5

CONTRIBUTI RICEVUTI GENNAIO 2024-1

CONTRIBUTI RICEVUTI GENNAIO 2024-2

CONTRIBUTI RICEVUTI GENNAIO 2024-3

CONTRIBUTI RICEVUTI GENNAIO 2024-4

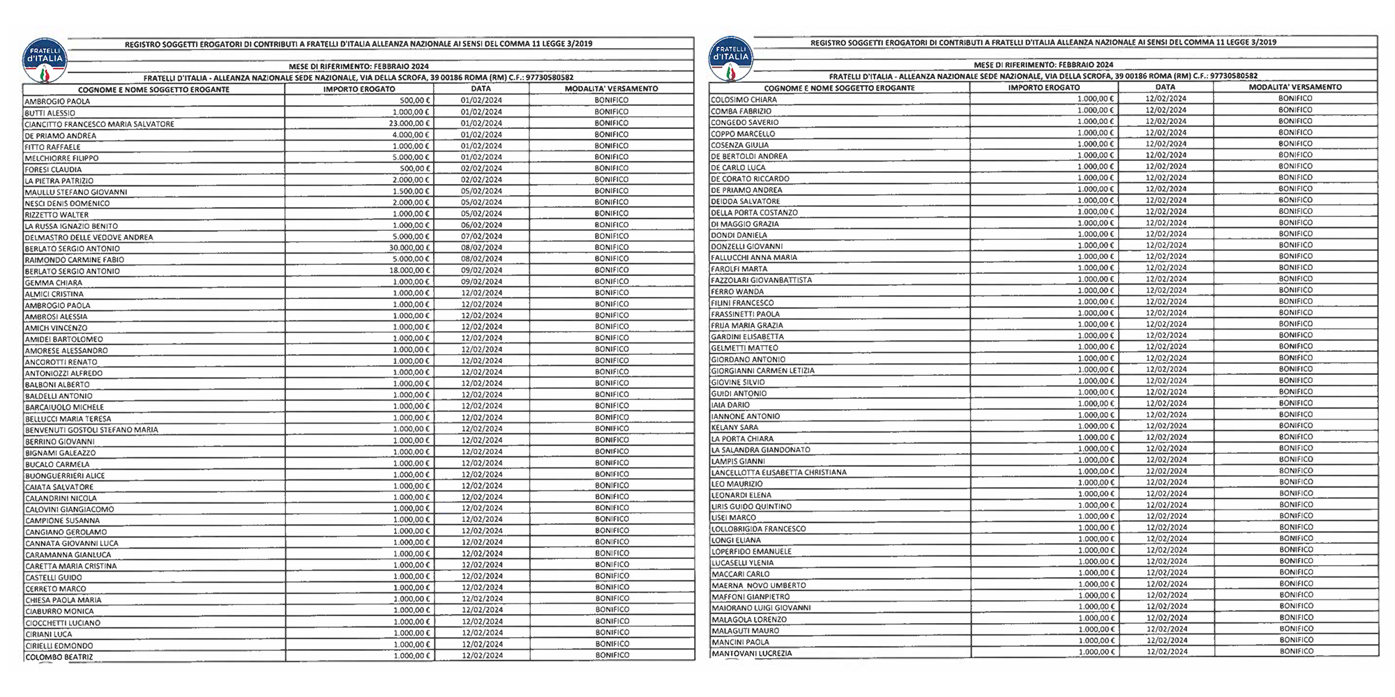
CONTRIBUTI RICEVUTI FEBBRAIO 2024-1

CONTRIBUTI RICEVUTI FEBBRAIO 2024-2

CONTRIBUTI RICEVUTI FEBBRAIO 2024-3

CONTRIBUTI RICEVUTI FEBBRAIO 2024-4

CONTRIBUTI RICEVUTI MARZO 2024-1

CONTRIBUTI RICEVUTI MARZO 2024-2

CONTRIBUTI RICEVUTI MARZO 2024-3

CONTRIBUTI RICEVUTI MARZO 2024-4

CONTRIBUTI RICEVUTI MARZO 2024-1

CONTRIBUTI RICEVUTI MARZO 2024-2

CONTRIBUTI RICEVUTI MARZO 2024-3

CONTRIBUTI RICEVUTI APRILE 2024-1

CONTRIBUTI RICEVUTI APRILE 2024-2

CONTRIBUTI RICEVUTI APRILE 2024-3

CONTRIBUTI RICEVUTI APRILE 2024-4

CONTRIBUTI RICEVUTI APRILE 2024-5

CONTRIBUTI RICEVUTI MAGGIO 2024-1

CONTRIBUTI RICEVUTI MAGGIO 2024-2

CONTRIBUTI RICEVUTI MAGGIO 2024-3

CONTRIBUTI RICEVUTI MAGGIO 2024-4

CONTRIBUTI RICEVUTI MAGGIO 2024-5

CONTRIBUTI RICEVUTI MAGGIO 2024-6

CONTRIBUTI RICEVUTI MAGGIO 2024-7

CONTRIBUTI RICEVUTI GIUGNO 2024-1

CONTRIBUTI RICEVUTI GIUGNO 2024-2

CONTRIBUTI RICEVUTI GIUGNO 2024-3

CONTRIBUTI RICEVUTI GIUGNO 2024-4

CONTRIBUTI RICEVUTI GIUGNO 2024-5

CONTRIBUTI RICEVUTI LUGLIO 2024-1

CONTRIBUTI RICEVUTI LUGLIO 2024-2

CONTRIBUTI RICEVUTI LUGLIO 2024-3

CONTRIBUTI RICEVUTI LUGLIO 2024-4

CONTRIBUTI RICEVUTI LUGLIO 2024-5

CONTRIBUTI RICEVUTI AGOSTO 2024-1

CONTRIBUTI RICEVUTI AGOSTO 2024-2

CONTRIBUTI RICEVUTI AGOSTO 2024-3

CONTRIBUTI RICEVUTI AGOSTO 2024-4

CONTRIBUTI RICEVUTI SETTEMBRE 2024-1

CONTRIBUTI RICEVUTI SETTEMBRE 2024-2

CONTRIBUTI RICEVUTI SETTEMBRE 2024-3

CONTRIBUTI RICEVUTI SETTEMBRE 2024-4

CONTRIBUTI RICEVUTI OTTOBRE 2024-1

CONTRIBUTI RICEVUTI OTTOBRE 2024-2

CONTRIBUTI RICEVUTI OTTOBRE 2024-3

CONTRIBUTI RICEVUTI OTTOBRE 2024-4

CONTRIBUTI RICEVUTI OTTOBRE 2024-5

CONTRIBUTI RICEVUTI OTTOBRE 2024-6

CONTRIBUTI RICEVUTI NOVEMBRE 2024-1

CONTRIBUTI RICEVUTI NOVEMBRE 2024-2

CONTRIBUTI RICEVUTI NOVEMBRE 2024-3

CONTRIBUTI RICEVUTI NOVEMBRE 2024-4

CONTRIBUTI RICEVUTI DICEMBRE 2024-1

CONTRIBUTI RICEVUTI DICEMBRE 2024-2

CONTRIBUTI RICEVUTI DICEMBRE 2024-3

CONTRIBUTI RICEVUTI DICEMBRE 2024-4

CONTRIBUTI RICEVUTI DICEMBRE 2024-5

ELENCO DEI SOGGETTI CHE HANNO EROGATO CONTRIBUTI DI IMPORTO UNITARIO INFERIORE A EURO 500,00 COMPLESSIVAMENTE SUPERIORI NELL’ANNO A TALE IMPORTO. ANNO 2024-1

ELENCO DEI SOGGETTI CHE HANNO EROGATO CONTRIBUTI DI IMPORTO UNITARIO INFERIORE A EURO 500,00 COMPLESSIVAMENTE SUPERIORI NELL’ANNO A TALE IMPORTO. ANNO 2024-2

ELENCO DEI SOGGETTI CHE HANNO EROGATO CONTRIBUTI DI IMPORTO UNITARIO INFERIORE A EURO 500,00 COMPLESSIVAMENTE SUPERIORI NELL’ANNO A TALE IMPORTO. ANNO 2024-3

ELENCO DEI SOGGETTI CHE HANNO EROGATO CONTRIBUTI DI IMPORTO UNITARIO INFERIORE A EURO 500,00 COMPLESSIVAMENTE SUPERIORI NELL’ANNO A TALE IMPORTO. ANNO 2024-4

CONTRIBUTI RICEVUTI GENNAIO 2025-1

CONTRIBUTI RICEVUTI GENNAIO 2025-2

CONTRIBUTI RICEVUTI GENNAIO 2025-3

CONTRIBUTI RICEVUTI GENNAIO 2025-4

CONTRIBUTI RICEVUTI FEBBRAIO 2025-1

CONTRIBUTI RICEVUTI FEBBRAIO 2025-2

CONTRIBUTI RICEVUTI FEBBRAIO 2025-3

CONTRIBUTI RICEVUTI FEBBRAIO 2025-4

CONTRIBUTI RICEVUTI MARZO 2025-1

CONTRIBUTI RICEVUTI MARZO 2025-2

CONTRIBUTI RICEVUTI MARZO 2025-3

CONTRIBUTI RICEVUTI MARZO 2025-4

CONTRIBUTI RICEVUTI MARZO 2025-5

CONTRIBUTI RICEVUTI APRILE 2025-1

CONTRIBUTI RICEVUTI APRILE 2025-2

CONTRIBUTI RICEVUTI APRILE 2025-3

CONTRIBUTI RICEVUTI APRILE 2025-4

CONTRIBUTI RICEVUTI APRILE 2025-5

CONTRIBUTI RICEVUTI MAGGIO 2025-1

CONTRIBUTI RICEVUTI MAGGIO 2025-2

CONTRIBUTI RICEVUTI MAGGIO 2025-3

CONTRIBUTI RICEVUTI MAGGIO 2025-4

CONTRIBUTI RICEVUTI MAGGIO 2025-5

CONTRIBUTI RICEVUTI GIUGNO 2025-1

CONTRIBUTI RICEVUTI GIUGNO 2025-2

CONTRIBUTI RICEVUTI GIUGNO 2025-3

CONTRIBUTI RICEVUTI GIUGNO 2025-4

CONTRIBUTI RICEVUTI LUGLIO 2025-1

CONTRIBUTI RICEVUTI LUGLIO 2025-2

CONTRIBUTI RICEVUTI LUGLIO 2025-3

CONTRIBUTI RICEVUTI LUGLIO 2025-4

CONTRIBUTI RICEVUTI LUGLIO 2025-5

CONTRIBUTI RICEVUTI LUGLIO 2025-6

CONTRIBUTI RICEVUTI AGOSTO 2025-1

CONTRIBUTI RICEVUTI AGOSTO 2025-2

CONTRIBUTI RICEVUTI AGOSTO 2025-3

CONTRIBUTI RICEVUTI AGOSTO 2025-4

CONTRIBUTI RICEVUTI SETTEMBRE 2025-1

CONTRIBUTI RICEVUTI SETTEMBRE 2025-2

CONTRIBUTI RICEVUTI SETTEMBRE 2025-3

CONTRIBUTI RICEVUTI SETTEMBRE 2025-4

CONTRIBUTI RICEVUTI SETTEMBRE 2025-5

CONTRIBUTI RICEVUTI OTTOBRE 2025-1

CONTRIBUTI RICEVUTI OTTOBRE 2025-2

CONTRIBUTI RICEVUTI OTTOBRE 2025-3

CONTRIBUTI RICEVUTI OTTOBRE 2025-4

CONTRIBUTI RICEVUTI OTTOBRE 2025-5

CONTRIBUTI RICEVUTI NOVEMBRE 2025-1

CONTRIBUTI RICEVUTI NOVEMBRE 2025-2

CONTRIBUTI RICEVUTI NOVEMBRE 2025-3

CONTRIBUTI RICEVUTI NOVEMBRE 2025-4

CONTRIBUTI RICEVUTI DICEMBRE 2025-1

CONTRIBUTI RICEVUTI DICEMBRE 2025-2

CONTRIBUTI RICEVUTI DICEMBRE 2025-3

CONTRIBUTI RICEVUTI DICEMBRE 2025-4

CONTRIBUTI RICEVUTI DICEMBRE 2025-5

CONTRIBUTI RICEVUTI DICEMBRE 2025-6

ELENCO DEI SOGGETTI CHE HANNO EROGATO CONTRIBUTI DI IMPORTO UNITARIO INFERIORE A EURO 500,00 COMPLESSIVAMENTE SUPERIORI NELL’ANNO A TALE IMPORTO. ANNO 2025-1

ELENCO DEI SOGGETTI CHE HANNO EROGATO CONTRIBUTI DI IMPORTO UNITARIO INFERIORE A EURO 500,00 COMPLESSIVAMENTE SUPERIORI NELL’ANNO A TALE IMPORTO. ANNO 2025-2

ELENCO DEI SOGGETTI CHE HANNO EROGATO CONTRIBUTI DI IMPORTO UNITARIO INFERIORE A EURO 500,00 COMPLESSIVAMENTE SUPERIORI NELL’ANNO A TALE IMPORTO. ANNO 2025-3

ELENCO DEI SOGGETTI CHE HANNO EROGATO CONTRIBUTI DI IMPORTO UNITARIO INFERIORE A EURO 500,00 COMPLESSIVAMENTE SUPERIORI NELL’ANNO A TALE IMPORTO. ANNO 2025-4

ELENCO DEI SOGGETTI CHE HANNO EROGATO CONTRIBUTI DI IMPORTO UNITARIO INFERIORE A EURO 500,00 COMPLESSIVAMENTE SUPERIORI NELL’ANNO A TALE IMPORTO. ANNO 2025-5

CONTRIBUTI RICEVUTI GENNAIO 2026-1

CONTRIBUTI RICEVUTI GENNAIO 2026-2

CONTRIBUTI RICEVUTI GENNAIO 2026-3

CONTRIBUTI RICEVUTI GENNAIO 2026-4

CONTRIBUTI RICEVUTI FEBBRAIO 2026-1

CONTRIBUTI RICEVUTI FEBBRAIO 2026-2

CONTRIBUTI RICEVUTI FEBBRAIO 2026-3

CONTRIBUTI RICEVUTI FEBBRAIO 2026-4

CONTRIBUTI RICEVUTI FEBBRAIO 2026-5

CONTRIBUTI RICEVUTI MARZO 2026-1

CONTRIBUTI RICEVUTI MARZO 2026-2

CONTRIBUTI RICEVUTI MARZO 2026-3

CONTRIBUTI RICEVUTI MARZO 2026-4

CONTRIBUTI RICEVUTI MARZO 2026-5

CONTRIBUTI RICEVUTI MARZO 2026-6

Entra nel mondo di

Fratelli d'Italia

Tesserati
Fai una donazione
Leggi la Gazzetta Tricolore

Iscriviti alla Gazzetta Tricolore per tenerti aggiornato

ISCRIVITI

Copyright 2026 - Tutti i diritti riservati

  • Privacy Policy
  • Cookie policy
  • Privacy Policy
  • Cookie policy
  • Home
  • Movimento
  • Notizie
    • Notizie
    • Dal territorio
    • Gazzetta Tricolore
  • Programma
    • 2 anni di Governo
    • Programma Europee 2024
    • Programma Fratelli d’Italia 2022
    • Programma Centrodestra 2022
  • Media
    • Video
    • Le nostre campagne
    • Logo
  • Contattaci
    • Contattaci
    • La nostra sede